Задать свой вопрос
*более 50 000 пользователей получили ответ на «Решим всё»
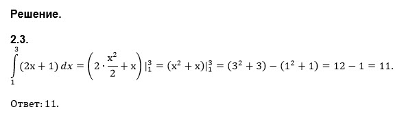
Задача 38881
ПОМОГИТЕ ПОЖАЛУЙСТА 2.1, 2.3 , 2.4 ...
Условие
vk306899767
2019-08-21 19:29:57
ПОМОГИТЕ ПОЖАЛУЙСТА 2.1, 2.3 , 2.4
математика 10-11 класс
505
Решение
u821511235
2019-08-21 19:49:45
★
Написать комментарий
Меню
Решим всё
Найти задачу
Категории
Статьи
Тесты
Архив задач
Присоединяйся в ВК