Задать свой вопрос
*более 50 000 пользователей получили ответ на «Решим всё»
Задача 38875
...
Условие
vk306899767
2019-08-21 16:30:20
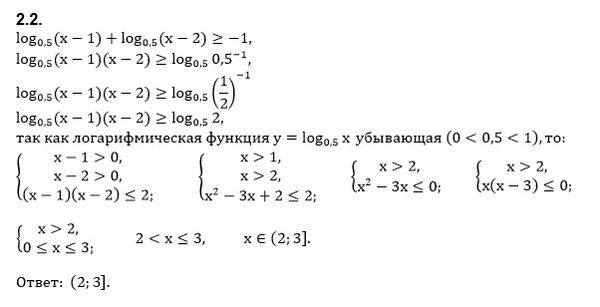
2.1
sqrt(x^2-7x+12) = 6-x
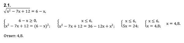
2.2.
log(0,5)(x-1) + log(0,5)(x-2) ≥ -1
математика 10-11 класс
768
Решение
u821511235
2019-08-21 16:48:36
★
Написать комментарий
Меню
Решим всё
Найти задачу
Категории
Статьи
Тесты
Архив задач
Присоединяйся в ВК