Задать свой вопрос
*более 50 000 пользователей получили ответ на «Решим всё»
Задача 38850
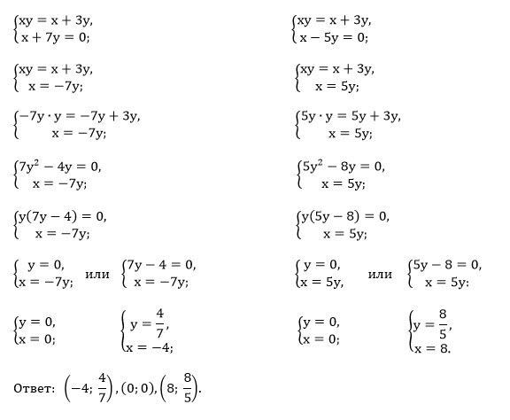
Помогите решить систему уравнений ...
Условие
vk280770680
2019-08-21 06:48:25
Помогите решить систему уравнений
математика ВУЗ
575
Решение
u821511235
2019-08-21 07:59:17
★
Написать комментарий
Меню
Решим всё
Найти задачу
Категории
Статьи
Тесты
Архив задач
Присоединяйся в ВК