Задать свой вопрос
*более 50 000 пользователей получили ответ на «Решим всё»
Задача 38844
Помогите решить ...
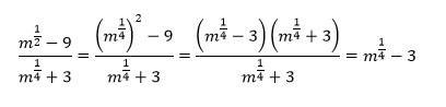
Условие
vk280770680
2019-08-20 20:22:56
Помогите решить
математика ВУЗ
522
Решение
u821511235
2019-08-20 20:55:37
★
Написать комментарий
Меню
Решим всё
Найти задачу
Категории
Статьи
Тесты
Архив задач
Присоединяйся в ВК