Задать свой вопрос   *более 50 000 пользователей получили ответ на «Решим всё»

Задача 38833 Железный шарик поодаль от других тел,...

Условие

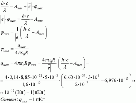
Железный шарик поодаль от других тел, облучают монохроматическим светом с длиной волны = 200 нм. К какому максимального потанциала зарядится шарик теряя фотоэлектроны? Работа выхода электрона из железа равна 4,36.eB.

предмет не задан 3038

Решение

Здесь определен и максимальный потенциал и максимальный заряд

Написать комментарий

Меню

Присоединяйся в ВК