Задать свой вопрос
*более 50 000 пользователей получили ответ на «Решим всё»
Задача 38831
Решите...
Условие
vk323918718
2019-08-20 11:19:48
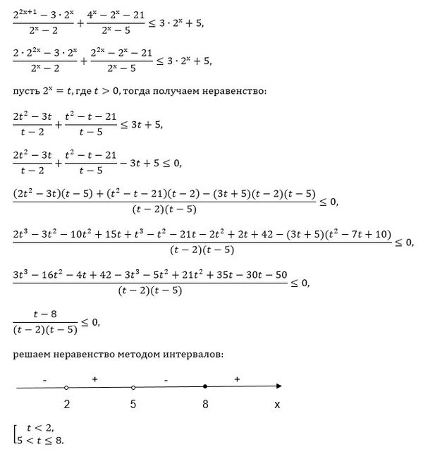
Решите неравенство
[block](2^(2x+1)-3*2^x)/(2^x-2) + (4^x-2^x-21)/(2^x-5) <= 3*2^x+5[/block]
математика 10-11 класс
593
Все решения
u821511235
2019-08-20 12:04:26
Написать комментарий
Категория
ЕГЭ по Математике (проф.)
задание 13 (уравнение, отбор корней)
Меню
Решим всё
Найти задачу
Категории
Статьи
Тесты
Архив задач
Присоединяйся в ВК