Задать свой вопрос   *более 50 000 пользователей получили ответ на «Решим всё»

Задача 38829 Найти точки экстремума f(x) =...

Условие

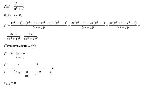
Найти точки экстремума f(x) = (x^2-1)/(x^2+1)

математика 10-11 класс 1270

Решение

Все решения

f(x)=(x^2-1)/(x^2+1)
Решение: f(x)=1-2/(x^2+1) По формуле (1/u)'=-u'/u^2 получаем
f'(x)=2*2x/(x^2+1)^2=4x/(x^2+1)^2. ОДЗ x ∈ R.
4x=0. Отсюда x=0-стационарная точка в которой производная меняет знак с (-) на (+0). Следовательно x(min)=0.

Написать комментарий

Меню

Присоединяйся в ВК