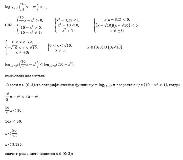
log(10-x^2)([m]\frac{16}{5}[/m]x-x^2) < 1



{10-x^2>0 ⇒ -sqrt(10)<x<sqrt(10)
{10-x^2 ≠ 1 ⇒ x ≠ ± 3
{(16/5)x-x^2>0 ⇒ 0 < x < 16/5=3,2
{(10-x^2-1)((16/5)x-x^2-10+x^2) <0 ⇒ (3-x)(3+x)(x-(25/8)) < 0 или
(х-3)(x+3)(x-(25/8))>0
О т в е т. (0;3)U(3,125;sqrt(10))