Задать свой вопрос   *более 50 000 пользователей получили ответ на «Решим всё»

Задача 38771 решить уравнение и указать корни этого...

Условие

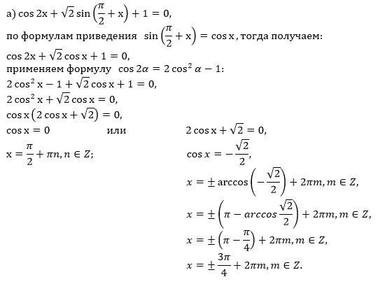
решить уравнение и указать корни этого уравнения принадлежащие отрезку
2cos^3 x = sin (П/2 - x)
[-4П; -5П/2]

предмет не задан 3574

Решение

Написать комментарий

Категория

Меню

Присоединяйся в ВК