Задать свой вопрос   *более 50 000 пользователей получили ответ на «Решим всё»

Задача 38762 ...

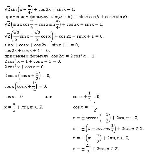
Условие

решите уравнение и укажите корни этого уравнения принадлежащие отрезку
√2sin (x + П/4) + cos(2x) = sinx - 1
[7П/2; 5П]

предмет не задан 8420

Все решения

Написать комментарий

Категория

Меню

Присоединяйся в ВК