Задать свой вопрос   *более 50 000 пользователей получили ответ на «Решим всё»

Задача 38761 ...

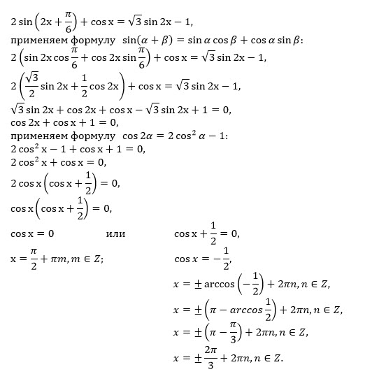
Условие

решить уравнение и указать корни этого уравнения принадлежащие отрезку
2sin (2x + П/6) + cosx = √3 sin(2x) - 1
[4П; 11П/2]

предмет не задан 13117

Решение

Написать комментарий

Категория

Меню

Присоединяйся в ВК