Задать свой вопрос   *более 50 000 пользователей получили ответ на «Решим всё»

Задача 38742 1. Проверьте, удовлетворяет ли...

Условие

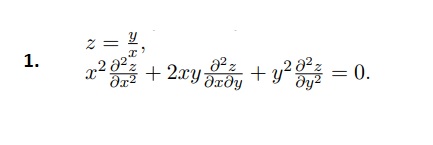
1. Проверьте, удовлетворяет ли указанному уравнению данная функция z(x, y).
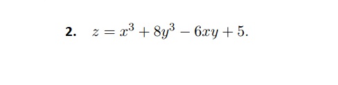
2. Исследуйте на экстремум функцию

математика ВУЗ 1141

Все решения

2. Посмотрите как исследовать функцию двух переменных на экстремум и сделайте по аналогии
[youtube=https://youtu.be/iGGzNJfF8Pg]
и
[youtube=https://youtu.be/va9Ml47FCMI]
поставьте лайк)

Вопросы к решению (3)

Написать комментарий

Меню

Присоединяйся в ВК