Задать свой вопрос   *более 50 000 пользователей получили ответ на «Решим всё»

Задача 38736 ...

Условие

Найдите производные от данных функций:
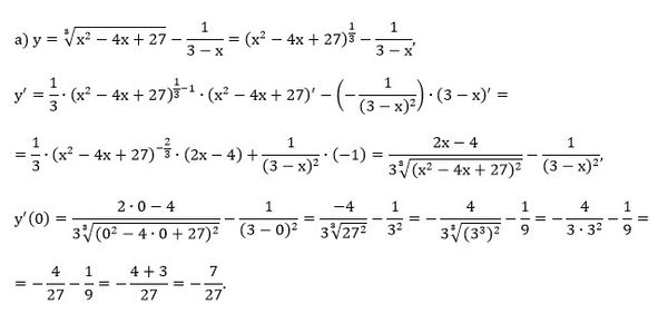
а) у = ∛(x^(2 )-4x+27) - 1/(3-x), у'(0);
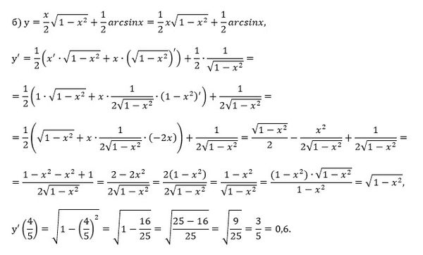
б) у = x/2 √(1- x^2 ) + 1/2 arcsin x, у'(4/5);
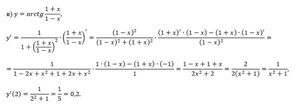
в) у = arctg (1+x)/(1-x), у'(2).

математика ВУЗ 1282

Все решения

Написать комментарий

Меню

Присоединяйся в ВК