Задать свой вопрос   *более 50 000 пользователей получили ответ на «Решим всё»

Задача 38708 |x^2-2x-8| > 2x...

Условие

|x^2-2x-8| > 2x

математика 10-11 класс 955

Решение

Все решения

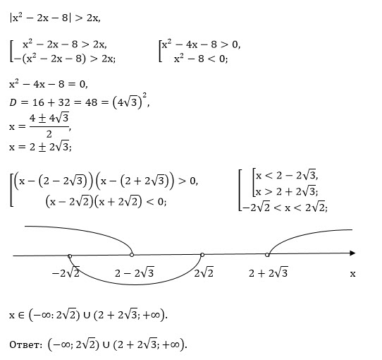
| x^2-2x-8|>2x.
Решение: Неравенство равносильно совокупности неравенств:
[ x^2-2x-8>2x, [ x^2-2x-8<-2x.Эта совокупность неравенств равносильна совокупности [x^2-4x-8>0, [x^2<8; или [(x-2+2sqrt(3)*(x-2-2sqrt(3))>0,[|x|<sqrt(8);
Решением первого неравенства системы является промежуток
x ∈ (- ∞ ; 2-2sqrt(3)) ∪ (2+2sqrt(3); + ∞ ), решением второго неравенства x ∈ (-2sqrt(2); 2sqrt(2))
Решением данного неравенства являются значения x состоящих из объединения промежутков x ∈ (- ∞ ;2sqrt(2)) ∪ (2+sqrt(3);+ ∞ ).
Ответ: (- ∞ ;2sqrt(2)) ∪ (2+sqrt(3);+ ∞ ).

Написать комментарий

Меню

Присоединяйся в ВК