Задать свой вопрос
*более 50 000 пользователей получили ответ на «Решим всё»
Задача 38706
...
Условие
vk288952222
2019-08-04 18:17:51
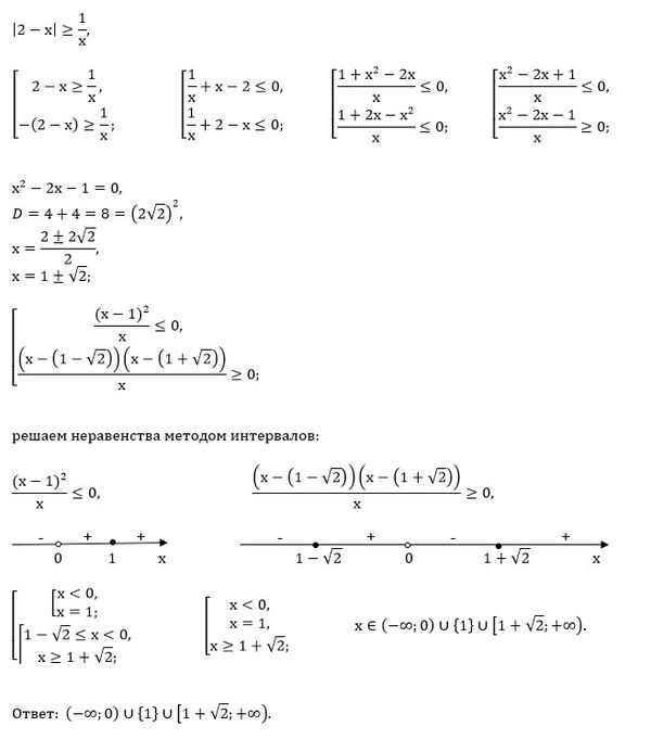
|2-x| ≥ 1/x
математика 10-11 класс
722
Решение
u821511235
2019-08-04 21:18:21
★
Написать комментарий
Меню
Решим всё
Найти задачу
Категории
Статьи
Тесты
Архив задач
Присоединяйся в ВК