Задать свой вопрос
*более 50 000 пользователей получили ответ на «Решим всё»
Задача 38704
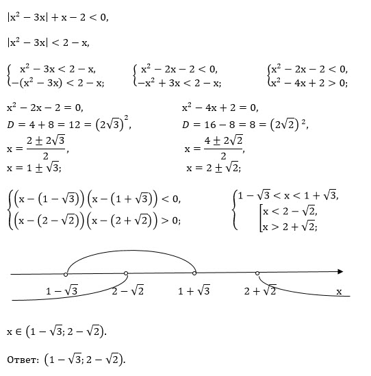
|x^2-3x|+x-2 < 0...
Условие
vk288952222
2019-08-04 18:14:49
|x^2-3x|+x-2 < 0
математика 10-11 класс
764
Решение
u821511235
2019-08-04 20:38:34
★
Написать комментарий
Меню
Решим всё
Найти задачу
Категории
Статьи
Тесты
Архив задач
Присоединяйся в ВК