Задать свой вопрос
*более 50 000 пользователей получили ответ на «Решим всё»
Задача 38689
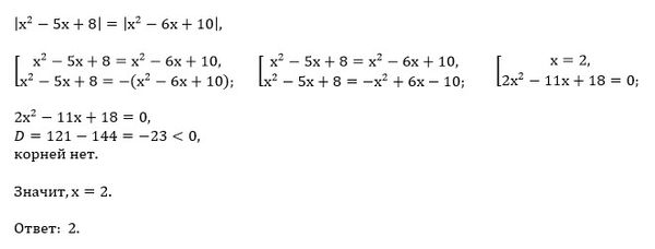
|x^2-5x+8| = |x^2-6x+10|...
Условие
vk288952222
2019-07-31 14:07:45
|x^2-5x+8| = |x^2-6x+10|
математика 10-11 класс
986
Решение
u821511235
2019-08-03 08:47:41
★
Все решения
vk175071266
2019-08-02 13:43:51
Написать комментарий
Меню
Решим всё
Найти задачу
Категории
Статьи
Тесты
Архив задач
Присоединяйся в ВК