Задать свой вопрос   *более 50 000 пользователей получили ответ на «Решим всё»

Задача 38688 |x^2-x| = |2x-2|...

Условие

|x^2-x| = |2x-2|

математика 10-11 класс 915

Решение

Все решения

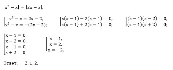
|x^2-x|=|2x-2|
Возведем обе части уравнения в квадрат,перенесем в левую часть и рассмотрим разность квадратов a^2-b^2=(a-b)(a+b).
(x^2-x)^2-(2x-2)^2=0
(x^2-x-2x+2)(x^2-x+2x-2)=0,
(x^2-3x+2)(x^2+x-2)=0;
x^2-3x+2=0, или x^2+x-2=0
По обратной теореме Виета
x1=2 ;x2=1 или x3=-2; x4=1 (корни находим подбором).
Ответ:{2;1;-2;1}.


Написать комментарий

Меню

Присоединяйся в ВК