Задать свой вопрос
*более 50 000 пользователей получили ответ на «Решим всё»
Задача 38685
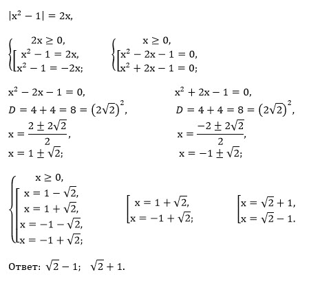
|x^2-1| = 2x...
Условие
vk288952222
2019-07-31 14:03:50
|x^2-1| = 2x
математика 10-11 класс
712
Решение
u821511235
2019-08-03 11:08:38
★
Написать комментарий
Меню
Решим всё
Найти задачу
Категории
Статьи
Тесты
Архив задач
Присоединяйся в ВК