Задать свой вопрос
*более 50 000 пользователей получили ответ на «Решим всё»
Задача 38684
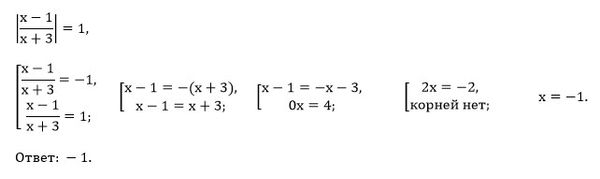
[block]|(x-1)/(x+3)| = 1[/block]...
Условие
vk288952222
2019-07-31 14:02:49
[block]|(x-1)/(x+3)| = 1[/block]
математика 10-11 класс
677
Решение
u821511235
2019-08-03 11:14:43
★
Написать комментарий
Меню
Решим всё
Найти задачу
Категории
Статьи
Тесты
Архив задач
Присоединяйся в ВК