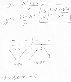
Найдите точку минимума функции y=-(x^2+25)/x
1) Производная 2) Приравниваем ее к 0 3) Промежутки знакопостоянства и анализируем Ответ: -5
Такая функция может иметь минимальное или максимальное значение( или точку min или max) на определённом интервале
как расписать производную
Воспользуйся формулой
график функции грубо можно разделить на 2 простых. 1)y=-x; 2)y=-1/x (x[-3;3]). Т.е. y-минимален при x>0, стремящемся к 0, и при х, сремящемся к +бесконечности. Откуда -5 -- не ясно
В смысле откуда. (25-x^2)/x^2 = 0, помимо 5 мы получаем еще корень -5, а 0 выколота
Можно поподробнее расписать производную?
y' = ((25-x^2)'x^2 - (x^2)'(25-x^2))/(x^4)