Задать свой вопрос
*более 50 000 пользователей получили ответ на «Решим всё»
Задача 38640
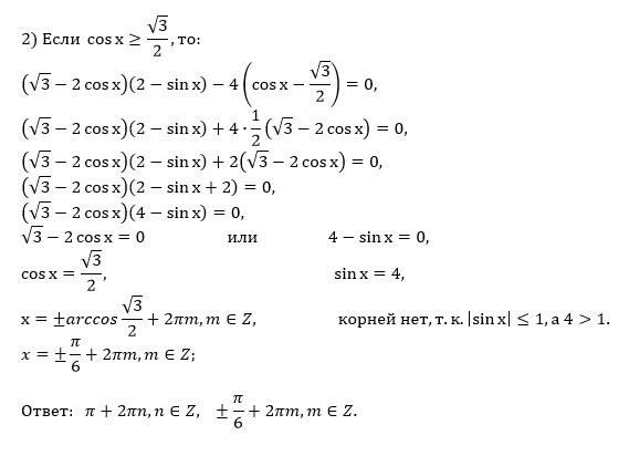
(sqrt(3)-2cosx)(2-sinx) =...
Условие
vk288952222
2019-07-22 16:18:51
(sqrt(3)-2cosx)(2-sinx) = 2|2cosx-sqrt(3)|
математика 10-11 класс
1358
Решение
u821511235
2019-07-22 22:00:21
★
Написать комментарий
Меню
Решим всё
Найти задачу
Категории
Статьи
Тесты
Архив задач
Присоединяйся в ВК