Задать свой вопрос
*более 50 000 пользователей получили ответ на «Решим всё»
Задача 38637
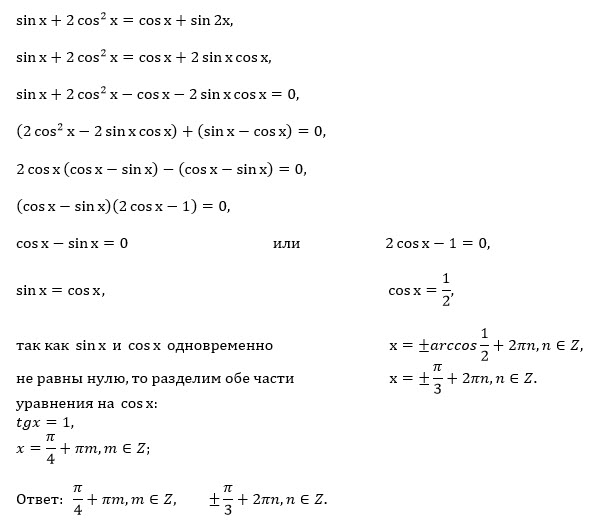
помогите решить уравнение sin x + 2cos^2...
Условие
ekaterina27
2019-07-22 15:09:49
помогите решить уравнение
sin x + 2cos^2 x = cos x + sin 2x
математика 10-11 класс
1889
Решение
u821511235
2019-07-22 15:41:22
★
Написать комментарий
Меню
Решим всё
Найти задачу
Категории
Статьи
Тесты
Архив задач
Присоединяйся в ВК