Задать свой вопрос
*более 50 000 пользователей получили ответ на «Решим всё»
Задача 38636
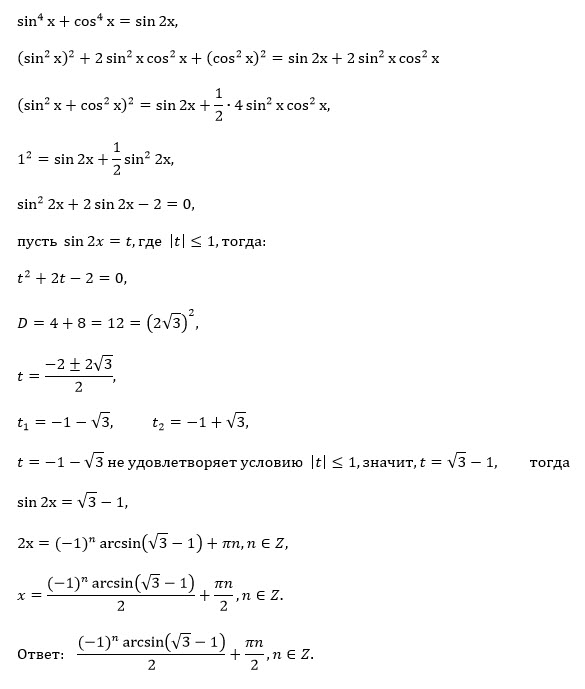
sin^4x+cos^4x=sin2x решить уравнение...
Условие
ladykaramel
2019-07-22 14:22:36
sin^4x+cos^4x=sin2x решить уравнение
математика 10-11 класс
4875
Решение
u821511235
2019-07-22 15:26:42
★
Написать комментарий
Меню
Решим всё
Найти задачу
Категории
Статьи
Тесты
Архив задач
Присоединяйся в ВК