Задать свой вопрос
*более 50 000 пользователей получили ответ на «Решим всё»
Задача 38635
...
Условие
vk392160246
2019-07-22 11:39:34
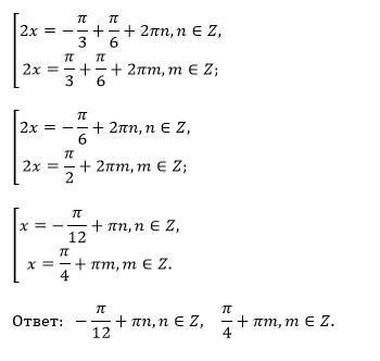
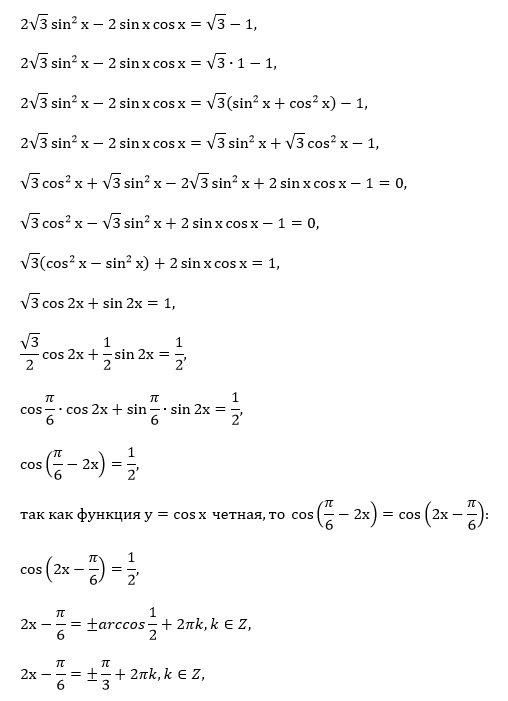
3.Решить уравнение: 2 sqrt(3)sin^(2)x-2sin(x) × cos(x))= sqrt(3)-1
математика
1521
Все решения
u821511235
2019-07-22 13:08:14
Написать комментарий
Меню
Решим всё
Найти задачу
Категории
Статьи
Тесты
Архив задач
Присоединяйся в ВК