Задать свой вопрос
*более 50 000 пользователей получили ответ на «Решим всё»
Задача 38626
Решить уравнение...
Условие
vk288952222
2019-07-20 20:23:57
Решить уравнение
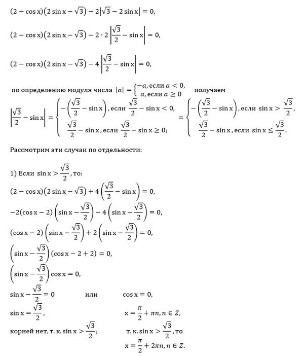
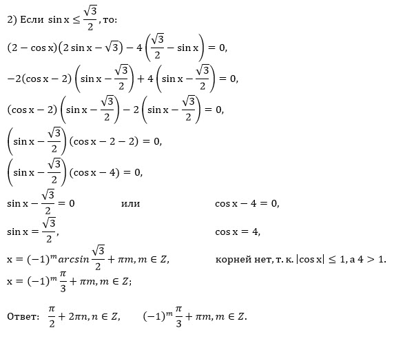
(2-cosx)(2sinx-sqrt(3)) - 2|sqrt(3)-2sinx| = 0
математика 10-11 класс
881
Решение
u821511235
2019-07-20 22:28:42
★
Написать комментарий
Меню
Решим всё
Найти задачу
Категории
Статьи
Тесты
Архив задач
Присоединяйся в ВК