Задать свой вопрос
*более 50 000 пользователей получили ответ на «Решим всё»
Задача 38625
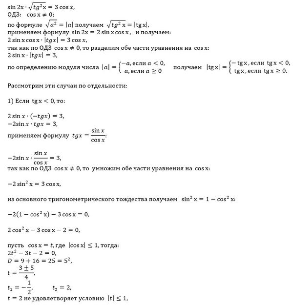
Решить уравнение sin2x*sqrt(tg^2x) =...
Условие
vk288952222
2019-07-20 20:22:45
Решить уравнение sin2x*sqrt(tg^2x) = 3cosx
математика 10-11 класс
1185
Решение
u821511235
2019-07-20 23:18:29
★
Написать комментарий
Меню
Решим всё
Найти задачу
Категории
Статьи
Тесты
Архив задач
Присоединяйся в ВК