Задать свой вопрос
*более 50 000 пользователей получили ответ на «Решим всё»
Задача 38618
...
Условие
89526130243
2019-07-18 08:03:07
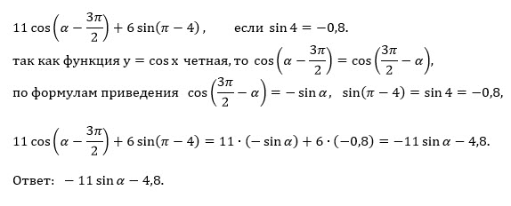
11cos(a-3π/2)+6sin(π-4) если sin4=-0,8
предмет не задан
983
Все решения
u821511235
2019-07-18 09:03:38
Написать комментарий
Меню
Решим всё
Найти задачу
Категории
Статьи
Тесты
Архив задач
Присоединяйся в ВК