Задать свой вопрос
*более 50 000 пользователей получили ответ на «Решим всё»
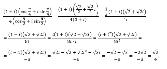
Задача 38613
Выполнить действие и результат записать...
Условие
piest
2019-07-16 20:23:40
Выполнить действие и результат записать в алгебраической форме
математика
646
Все решения
u821511235
2019-07-16 21:30:49
Написать комментарий
Меню
Решим всё
Найти задачу
Категории
Статьи
Тесты
Архив задач
Присоединяйся в ВК