Задать свой вопрос
*более 50 000 пользователей получили ответ на «Решим всё»
Задача 38612
...
Условие
flelvi
2019-07-16 20:19:21
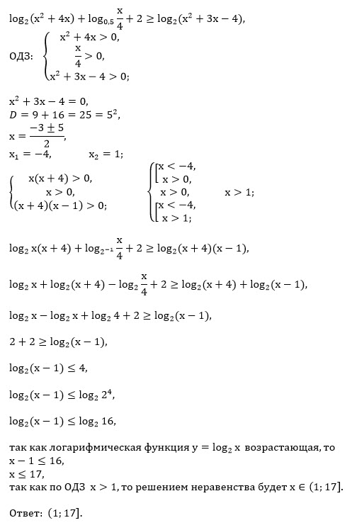
log2 (x2+4x) + log0,5 x/4 + 2 ⩾ log2 (x2+3x-4)
математика 10-11 класс
22882
Решение
u821511235
2019-07-16 21:02:26
★
Написать комментарий
Меню
Решим всё
Найти задачу
Категории
Статьи
Тесты
Архив задач
Присоединяйся в ВК