Задать свой вопрос
*более 50 000 пользователей получили ответ на «Решим всё»
Задача 38605
Решить логарифмическое уравнение: lg(5x...
Условие
vk211890367
2019-07-16 10:53:03
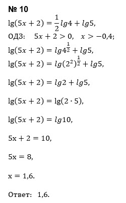
Решить логарифмическое уравнение:
lg(5x + 2) = (1/2)lg4 + lg5;
предмет не задан
654
Решение
u821511235
2019-07-16 11:01:30
★
Написать комментарий
Меню
Решим всё
Найти задачу
Категории
Статьи
Тесты
Архив задач
Присоединяйся в ВК