Задать свой вопрос
*более 50 000 пользователей получили ответ на «Решим всё»
Задача 38601
...
Условие
vk528575426
2019-07-16 05:54:51
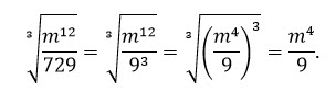
Упростите выражение ³√(m¹²/729).
математика 10-11 класс
637
Решение
u821511235
2019-07-16 06:12:39
★
Написать комментарий
Меню
Решим всё
Найти задачу
Категории
Статьи
Тесты
Архив задач
Присоединяйся в ВК