Задать свой вопрос
*более 50 000 пользователей получили ответ на «Решим всё»
Задача 38577
...
Условие
vk529348284
2019-07-12 15:04:47
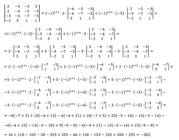
Вычислите определитель
D=∣∣∣∣∣2−5−332−4−5−3−3−4−7−5−2311∣∣∣∣∣.
математика
939
Решение
u821511235
2019-07-12 20:16:28
★
Написать комментарий
Меню
Решим всё
Найти задачу
Категории
Статьи
Тесты
Архив задач
Присоединяйся в ВК