Задать свой вопрос   *более 50 000 пользователей получили ответ на «Решим всё»

Задача 38565 Рентгеновские лучи с длиной волны 18 пм...

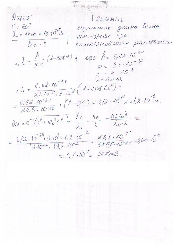
Условие

Рентгеновские лучи с длиной волны 18 пм испытывают комптоновское рассеяние под углом 60°. Найдите кинетическую энергию электрона отдачи.
Ответ дайте в кэВ с точностью до одной цифры после десятичной точки.

физика 2538

Все решения

4.36905кэВ-если точнее без округления

Написать комментарий

Меню

Присоединяйся в ВК