Задать свой вопрос
*более 50 000 пользователей получили ответ на «Решим всё»
Задача 38556
...
Условие
vk212871999
2019-07-10 17:46:59
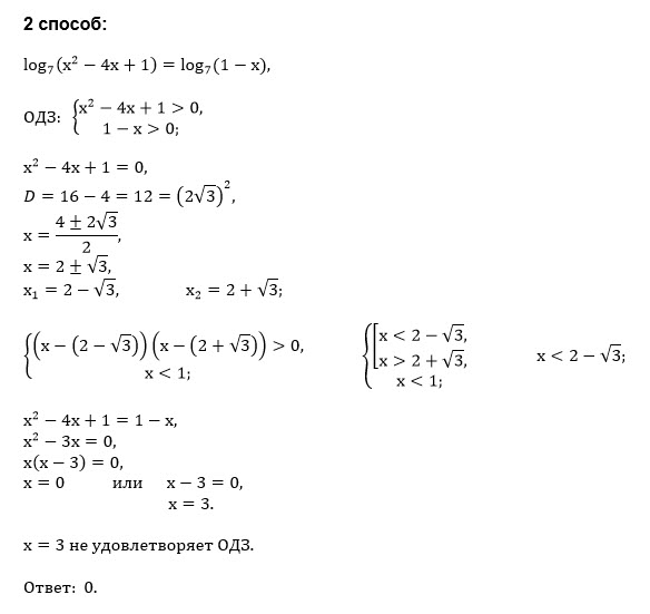
Решите уравнение log_7(x² - 4x + 1) = log_7(1-x).
предмет не задан
729
Все решения
u821511235
2019-07-10 20:17:13
Написать комментарий
Меню
Решим всё
Найти задачу
Категории
Статьи
Тесты
Архив задач
Присоединяйся в ВК