Задать свой вопрос
*более 50 000 пользователей получили ответ на «Решим всё»
Задача 38554
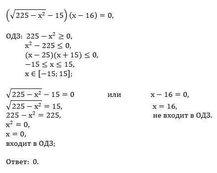
Решите уравнение (sqrt(225 - x^2) -...
Условие
vk212871999
2019-07-10 17:18:37
Решите уравнение (sqrt(225 - x^2) - 15)(x - 16) = 0.
предмет не задан
571
Все решения
u821511235
2019-07-10 17:38:03
Написать комментарий
Меню
Решим всё
Найти задачу
Категории
Статьи
Тесты
Архив задач
Присоединяйся в ВК