Задать свой вопрос
*более 50 000 пользователей получили ответ на «Решим всё»
Задача 38551
Найдите область определения функции [m]...
Условие
vk212871999
2019-07-10 16:27:32
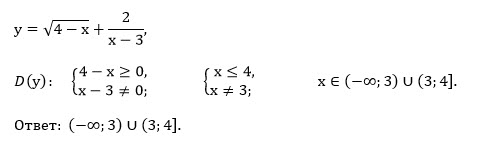
Найдите область определения функции
[m] y = \sqrt{4 - x} + \frac{2}{x - 3} [/m]
предмет не задан
579
Все решения
u821511235
2019-07-10 16:46:56
Написать комментарий
Меню
Решим всё
Найти задачу
Категории
Статьи
Тесты
Архив задач
Присоединяйся в ВК