
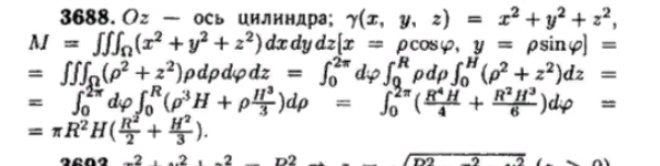
γ (x,y,z)=x^2+y^2+z^2
M= ∫ ∫ ∫_( Ω ) (x^2+y^2+z^2) dxdydz
Переходим к [b]цилиндрическим[/b] координатам:
x= ρcos φ
y= ρ sin φ
z=z
dxdydx= ρ d ρ d φdz
Ω :
В условии - прямой круговой цилиндр, радиуса R и высотой H
0 ≤ ρ ≤ R
0≤ φ ≤ 2π
0 ≤ z ≤H
Далее думаю нет проблем