
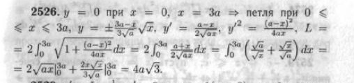
y^2=x*(x-3a)^2/9a
y= sqrt(x*(x-3a)^2/9a)
|y|= (|x-3a|/3) *sqrt(x/a)
так как 0 ≤ x ≤ 3a,
то |x-3a|=-3a+x=x-3a
|y|=(x-3a)sqrt(x)/3sqrt(a)
или
y=± (x-3a)sqrt(x)/3sqrt(a)
Пусть
y=+(x-3a)sqrt(x)/3sqrt(a)
y`=(1/3sqrt(a))* [b]([/b](x-3a)`*sqrt(x)+(x-3a)*(sqrt(x))` [b])[/b]=
=(1/3sqrt(a))* [b]([/b]1*sqrt(x)+(x-3a)*(1/2sqrt(x)) [b])[/b]=
=(1/3sqrt(a))* [b]([/b](2x+x-3a)/2sqrt(x)) [b])[/b]=
=(1/3sqrt(a))* [b]([/b](3x-3a)/2sqrt(x)) [b])[/b]=
=(1/sqrt(a))* [b]([/b](x-a)/2sqrt(x)) [b])[/b]= (a-x)/2sqrt(ax)
Формула
L= ∫^(b)_(a)sqrt(1+(y`)^2)dx
Умножаем на два, так как две линии, выше оси оХ ( y ≥ 0) и ниже оси Ох (y ≤ 0)