Задать свой вопрос   *более 50 000 пользователей получили ответ на «Решим всё»

Задача 38431 ...

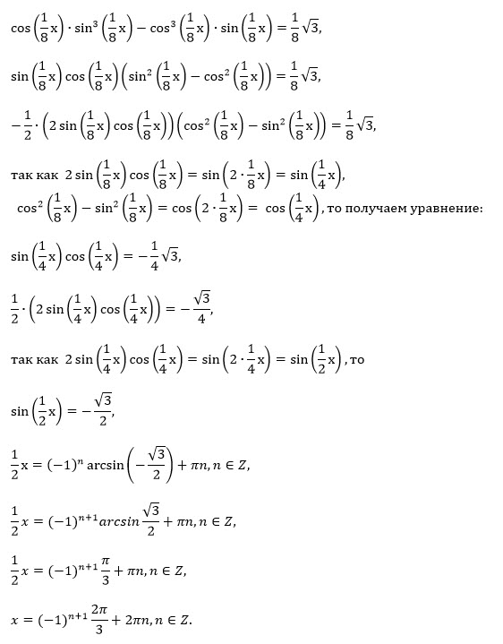
Условие

Решить уравнение:
cos (1/8)x · sin3 (1/8)x – cos3 (1/8)x · sin (1/8)x = (1/8) √3
В ответе указать (в градусах) наименьший положительный корень.

предмет не задан 915

Решение

Написать комментарий

Меню

Присоединяйся в ВК