Задать свой вопрос   *более 50 000 пользователей получили ответ на «Решим всё»

Задача 38424 Решить уравнение: cos(x+50 ° )+sin(x+40...

Условие

Решить уравнение:
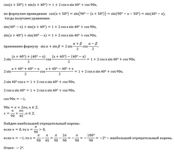
cos(x+50 ° )+sin(x+40 ° )=1+2 cos x sin40 ° +cos90x
В ответе указать (в градусах) наибольший отрицательный корень.
Помогите пожалуйста.

предмет не задан 1950

Решение

По формулам приведения
сos(x+50°)=sin(90°-(x+50 ° ))=sin(40°-x)

сos(x+50°)+sin(x+40°)= sin(40°-x)+sin(x+40°)=2sin40°cos(-x)
cosx(-x)=cosx

Уравнение принимает вид
2sin40°*cosx=1+2cos x* sin40°+cos90x

cos90x=-1

90x=-180°+360° *n, n ∈ Z

x=-2° +4°n, n ∈ Z

Наибольший отрицательный
х=-2 °

Все решения

Написать комментарий

Меню

Присоединяйся в ВК