Задать свой вопрос
*более 50 000 пользователей получили ответ на «Решим всё»
Задача 38400
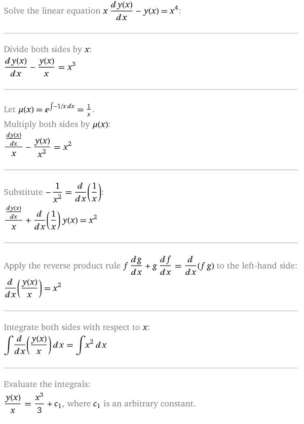
xy' – y = x4...
Условие
dangrat
2019-06-26 11:45:22
xy' – y = x4
математика ВУЗ
783
Решение
slava191
2019-06-26 11:48:56
★
Написать комментарий
Меню
Решим всё
Найти задачу
Категории
Статьи
Тесты
Архив задач
Присоединяйся в ВК