Задать свой вопрос
*более 50 000 пользователей получили ответ на «Решим всё»
Задача 38397
...
Условие
sinuspi
2019-06-26 09:54:31
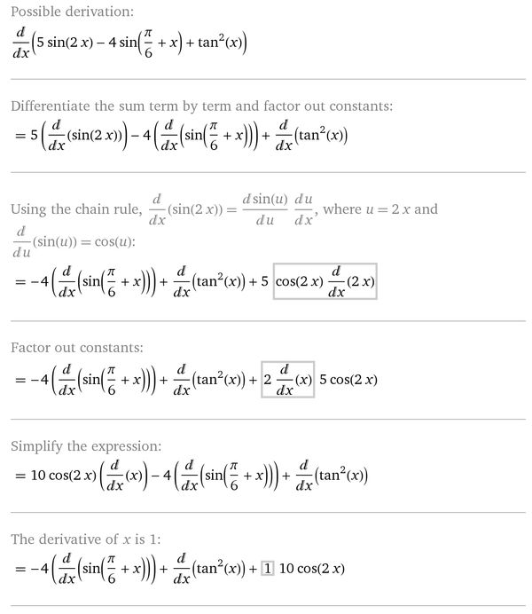
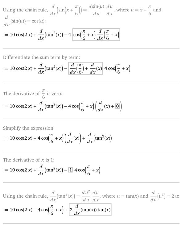
Найти производную.
F(x)=5sin2x-4cos(x-π/3)+tg^(2)x
математика 10-11 класс
1267
Все решения
slava191
2019-06-26 11:38:01
Написать комментарий
Меню
Решим всё
Найти задачу
Категории
Статьи
Тесты
Архив задач
Присоединяйся в ВК