Задать свой вопрос
*более 50 000 пользователей получили ответ на «Решим всё»
Задача 38396
...
Условие
272929
2019-06-26 09:37:40
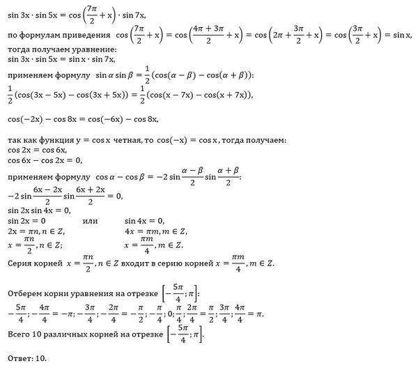
Число корней уравнения sin 3x*sin 5x=cos(7π/2+x)*sin7x, принадлежащих промежутку[-5π/4;π) равно
предмет не задан
1509
Решение
u821511235
2019-06-26 12:56:24
★
Написать комментарий
Меню
Решим всё
Найти задачу
Категории
Статьи
Тесты
Архив задач
Присоединяйся в ВК