Задать свой вопрос   *более 50 000 пользователей получили ответ на «Решим всё»

Задача 38391 1) log2(3x+1)=log2(x-4) 2)...

Условие

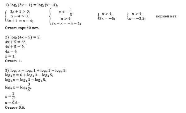
1) log2(3x+1)=log2(x-4)
2) log3(4x+5)=2
3) log4x=log4 1+log4 3-log4 5
Ребят помогите срочно надо найти х

математика 10-11 класс 1666

Решение

Написать комментарий

Меню

Присоединяйся в ВК