Задать свой вопрос
*более 50 000 пользователей получили ответ на «Решим всё»
Задача 38387
Решить неравенство log4(6-6x) <...
Условие
vk288952222
2019-06-25 20:40:32
Решить неравенство
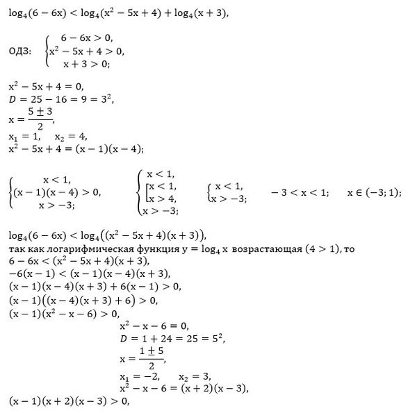
log4(6-6x) < log4(x^2-5x+4) + log4(x+3)
математика 10-11 класс
35160
Решение
u821511235
2019-06-25 21:04:31
★
Написать комментарий
Категория
ЕГЭ по Математике (проф.)
задание 15 (неравенство)
Меню
Решим всё
Найти задачу
Категории
Статьи
Тесты
Архив задач
Присоединяйся в ВК