Задать свой вопрос
*более 50 000 пользователей получили ответ на «Решим всё»
Задача 38381
...
Условие
380505570636
2019-06-25 14:57:21
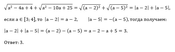
Найдите значение выражения √а^2-4а+4 + √а^2-10а+25 при а€[3;4]
предмет не задан
689
Все решения
u821511235
2019-06-25 15:06:12
Написать комментарий
Меню
Решим всё
Найти задачу
Категории
Статьи
Тесты
Архив задач
Присоединяйся в ВК