Задать свой вопрос
*более 50 000 пользователей получили ответ на «Решим всё»
Задача 38376
Найти площадь фигуры ограниченной...
Условие
katya194727292
2019-06-24 19:32:00
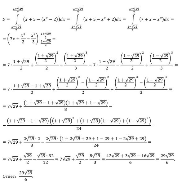
Найти площадь фигуры ограниченной линиями
y=x^2-2,x-y+5=0
математика ВУЗ
1052
Решение
u821511235
2019-06-25 00:06:46
★
Написать комментарий
Меню
Решим всё
Найти задачу
Категории
Статьи
Тесты
Архив задач
Присоединяйся в ВК