Задать свой вопрос
*более 50 000 пользователей получили ответ на «Решим всё»
Задача 38374
5^(log^2_(5)x) + x^(log5x) <...
Условие
anastasi
2019-06-24 19:10:35
5^(log^2_(5)x) + x^(log5x) < 10
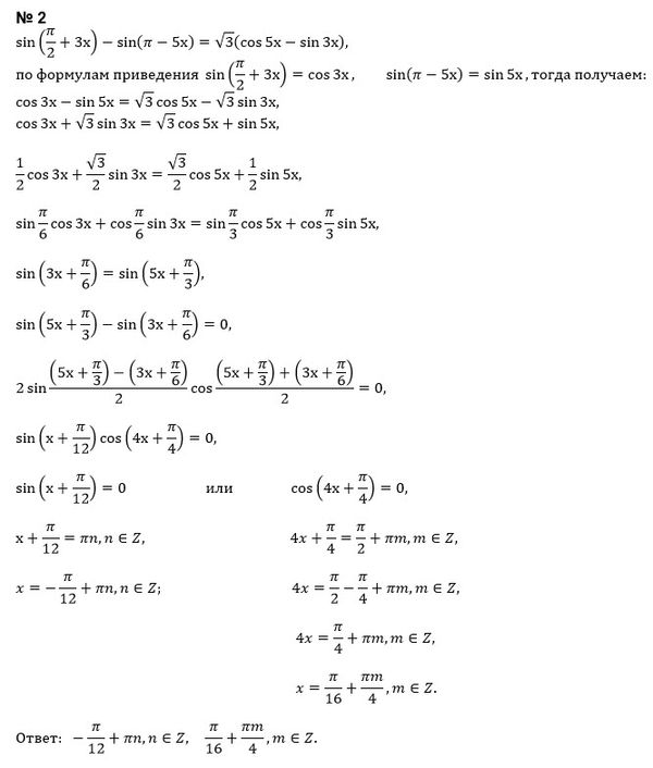
sin(Pi/2+3x) - sin(Pi-5x) = sqrt(3)(cos5x-sin3x)
математика 10-11 класс
1110
Решение
u821511235
2019-06-24 23:18:54
★
Написать комментарий
Меню
Решим всё
Найти задачу
Категории
Статьи
Тесты
Архив задач
Присоединяйся в ВК