Задать свой вопрос
*более 50 000 пользователей получили ответ на «Решим всё»
Задача 38367
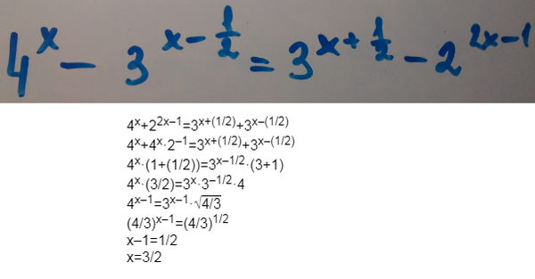
4^x-3^(x-1/2)=3^(x-1/2)*2^(2x-1)...
Условие
vk235449113
2019-06-24 12:40:11
4^x-3^(x-1/2)=3^(x-1/2)*2^(2x-1)
предмет не задан
504
Все решения
sova
2019-06-25 10:01:33
Написать комментарий
Меню
Решим всё
Найти задачу
Категории
Статьи
Тесты
Архив задач
Присоединяйся в ВК